Testing Cold Winters, Seasonality, and UVB in Ancient Genomes
Can we detect climate-driven selection in humans directly from ancient genomes?
In my previous two articles (here and the co-authored replication) , I have shown that ancient genomes can be leveraged to detect climate-mediated natural selection on polygenic traits, using climate-related variables such as winter temperature and latitude.
This article extends that work in two ways. First, I test the cold winters hypothesis using two independent outcomes rather than a single proxy: educational attainment (EA) as a social phenotype, and cortical surface area (CS) as a neuroanatomical phenotype: the total area of the cerebral cortex, reflecting the number and tangential expansion of cortical columns rather than cortical thickness. Height is included as a control trait with a distinct biological basis and a well-studied climatic gradient.
Second, I test the ultraviolet radiation hypothesis. Differences in UV exposure are a major selective pressure on skin pigmentation because pigmentation regulates UV penetration into the skin, with consequences for folate preservation under high UV and vitamin D synthesis under low UV. Here the outcome is a skin pigmentation polygenic score, where higher values indicate darker skin, and the environmental predictor is annual mean UVB radiation. This data was obtained from glUV.
I also include a third climate variable, the summer–winter temperature difference, which captures seasonality. Seasonality is not the same as cold winters. Two places can have similar mean winter temperatures but very different seasonal amplitude, and vice versa. In fact, several authors have argued that strong seasonality can itself select for planning and long time horizons, not only because winters are cold, but because survival and reproduction depend more on anticipating predictable scarcity and timing constraints across the year.
Winter temperature and seasonal amplitude capture related but distinct ecological pressures. Testing them as alternatives rather than conflating them allows us to distinguish absolute cold stress from seasonal variation.
The genomic data comes from AADR v.62 1240K and the climatic variables from the previous analysis. I restricted the sample to individuals younger than 12Kya due to sparse coverage in earlier periods.
Figure 1a reports standardized regression coefficients. For each trait, I estimate separate models for winter temperature, and seasonality, adjusting for ancestry principal components, time depth (YearsBP), and sequencing coverage. The plotted coefficients make it easy to compare direction and relative magnitude across predictors and across traits on a common scale. The first variable in each plot is the climatic variable, the second and third are Genomic coverage (Coverage) and Years Before Present (Years BP).
Figure 1a
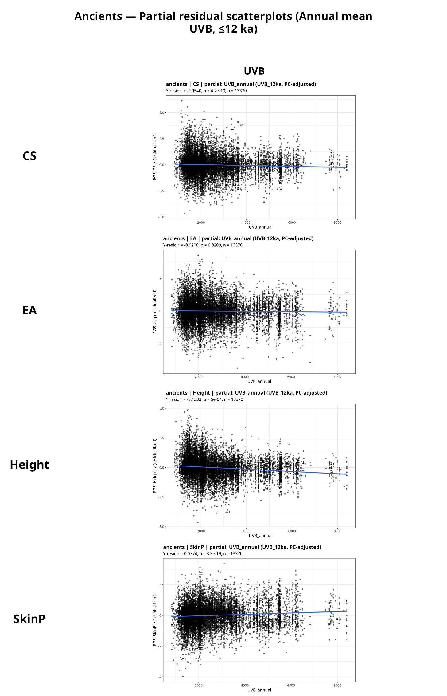
In Figure 1b I report the same results for UVB.
Figures 2a,2b,2c show the same relationships in a more diagnostic way. These are Y-only residual plots. For each trait, I first residualize the polygenic score on the same set of covariates (PCs, YearsBP, coverage). I then plot those residuals against the raw climate variable and overlay a linear fit.
Figure 2a.
Figure 2b.
Figure 2c
All the four traits have undergone significant recent evolution, as implied by the significant Beta for Years BP. Specifically, the effect is negative for CS, EA, Height, implying lower values in more ancient times (higher Years BP), whereas it’s positive for SkinP (darker pigmentation in more ancient individuals).
These systematic time trends are consistent with recent positive selection on the underlying genetic architectures (or on correlated traits), and they motivate the next step of asking which environmental axes best predict the direction and magnitude of change.
So what does this actually say about Cold Winters?







